• Предмет: Математика
  • Автор: calebophelia
  • Вопрос задан 3 года назад

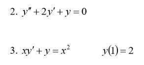
ПОМОГИТЕ, ПОЖАЛУЙСТА, С ДИФФЕРЕНЦИАЛЬНЫМИ УРАВНЕНИЯМИ!!!

Приложения:

Ответы

Ответ дал: Miroslava227
2

Ответ:

решение на фотографии

Приложения:
Вас заинтересует