• Предмет: Математика
  • Автор: gayyicon
  • Вопрос задан 3 года назад

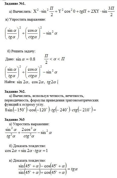
Решите тригонометрию, пожалуйста
не понимаю вообще ничего. Большое спасибо заранее​
хотя бы первое задание

Приложения:

Ответы

Ответ дал: filuksistersp735lh
1

решение на фото

я не сделала последнее задание в третьем задании, если нужно, могу сделать но там нужно мноого писать

Приложения:

gayyicon: спасибо большое емае счастья тебе здоровья и денег побольше :**
Вас заинтересует