• Предмет: Математика
  • Автор: calebophelia
  • Вопрос задан 3 года назад

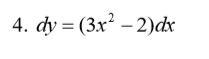
ПОМОГИТЕ, ПОЖАЛУЙСТА, С ДИФФЕРЕНЦИАЛЬНЫМ УРАВНЕНИЕМ!!!

Приложения:

Ответы

Ответ дал: Miroslava227
1

Ответ:

решение на фотографии

Приложения:
Ответ дал: turgunova04
1

Ответ:

∫dy=∫(3x^2-2х)dy

у=3x^(2+1)/(2+1)-2x^2(1+1)/(1+1)+C

y=x^3-х^2+С

Пошаговое объяснение:

Вас заинтересует