• Предмет: Математика
  • Автор: gherfer
  • Вопрос задан 3 года назад

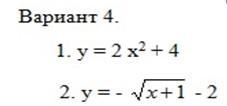
Пожалуйста, 35 баллов. Построить графики функций

Приложения:

Ответы

Ответ дал: Takotopmost
0

Ответ:

вот так, примерно так,

Приложения:
Вас заинтересует