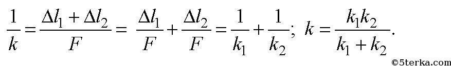
Жорсткiсть однiєï пружини К1 а другоï К2. Яка жорсткiсть пружини утвореноï з цих пружин з'єднаних: а) послiдовно б) паралельно.
Ответы
Ответ дал:
2
Ответ:
решения
Объяснение: виповидь
Приложения:


ArtemKrik:
хззз лень списовать было > w
Вас заинтересует
2 года назад
2 года назад
7 лет назад
7 лет назад
9 лет назад
9 лет назад