• Предмет: Алгебра
  • Автор: sellenaa
  • Вопрос задан 3 года назад

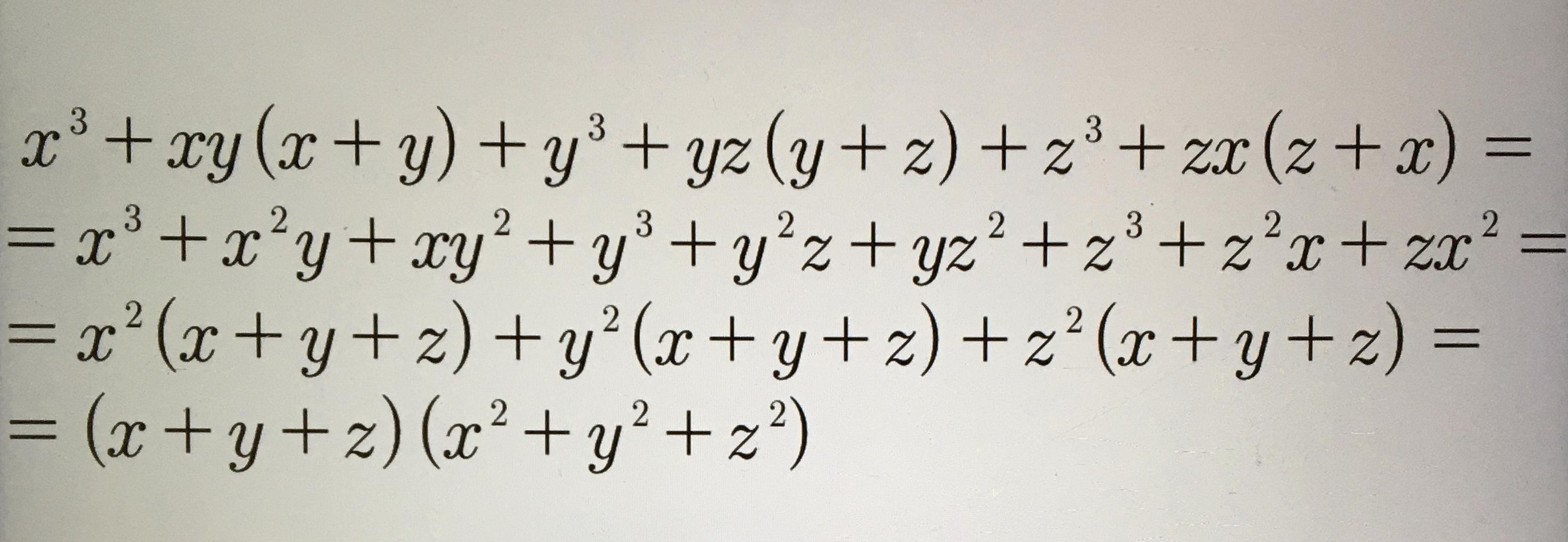
Разложить многочлен на множители
x^3+xy(x+y)+y^3+yz(y+z)+z^3+zx(z+x)

Ответы

Ответ дал: tamarabernukho
0

Ответ:

Объяснение:

.............................

Приложения:
Вас заинтересует