• Предмет: Математика
  • Автор: lemurity
  • Вопрос задан 3 года назад

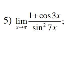
Решить пример на фото. Возможно через приведению к одному из замечательных пределов

Приложения:

Ответы

Ответ дал: vikkuuulya
1
Ответ в прикреплённом фото
Приложения:

lemurity: А без правила Лопиталя это можно решить? Приведя к чудесной границе и через нее?
Вас заинтересует