• Предмет: Алгебра
  • Автор: usupovaz575
  • Вопрос задан 3 года назад

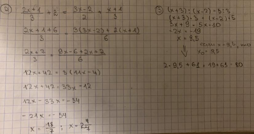
Помогите пожалуйста решите 2 и 3

Приложения:

Ответы

Ответ дал: 121223224
0
.....................
Приложения:

121223224: Ответ С
Вас заинтересует