• Предмет: Математика
  • Автор: Olesiaumilina
  • Вопрос задан 3 года назад

Помогите !!!!!!!!!!!!!!!!

Приложения:

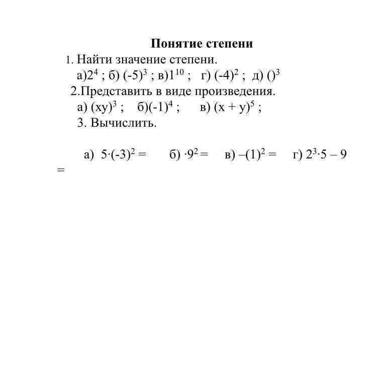
lolik12345678910: a16

б -125

в 1

г 16

д 0

а 45

б 81

в -1

г 31

Ответы

Ответ дал: mkupri420
1

Ответ:

1).

а). 16

б). -125

в). 1

г). 16

д). 0

3).

а). 45

б). 81

в). -1

г). 31


Olesiaumilina: А что во 2м?
Ответ дал: sofiyavictoria
1

Ответ:

Пошаговое объяснение:

1. a). 2^4=16 б). (-5)^3=-125.  в).1^10=1.   г). (-4)^2=16  д). (0)^3=0

2). a). (xy)^3=(xy)*(xy)*(xy).     б). (-1)^4=(-1)*(-1)*(-1)*(-1)

     в). (x+y)^5=(x+y)*(x+y)*(x+y)*(x+y)*(x+y)

3. a). 5*9=45.    б). -1    в). 8*5-9=40-9=31


Olesiaumilina: Спасибо
Вас заинтересует