• Предмет: Математика
  • Автор: alenamarishchu
  • Вопрос задан 3 года назад

Даю 60 баллов!
Помогите решить срочно!!!


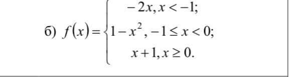
Исследовать на непрерывность функции и определить характер точек разрыва. Сделать схематический рисунок

Приложения:

Simba2017: две прямые и параболу?
alenamarishchu: Не могу построить, не понимаю как. Пришлите, пожалуйста, ответ
Simba2017: я пытаюсь вам помочь разобраться- вам видно это не нужно...
alenamarishchu: Мне срочно нужно сдать задание
Simba2017: без меня...я для списывания не пишу
alenamarishchu: Желаю, чтобы вам также кто-нибудь "помог", как и вы мне.
Simba2017: мне помощь в математике не нужна, я профессиональный математик. а списывание еще никому знаний не добавило
developerment: Профессиональные математики так не поступят. Цель сайта – обмениваться знаниями, а не хранить их в себе и говорить всем, мол я знаю, но тебе не скажу. Если у Вас нет желания решать задание за другого человека, можно было объяснить правило, следуя которому можно выполнить упражнение. Вам это, по всей видимости – не нужно.
Simba2017: я предложила автору вместе разобрать задание. Я готова была потратить на него время, объяснить. Он просил написать готовое решение, разбираться нет времени. Почему мне свое время на него потратить не жалко, а он на себя потратить свое время не хочет?
Simba2017: Вы бы сначала все комментарии прочитали, а потом ввязывались в чужой разговор, тем более с необоснованными претензиями!

Ответы

Ответ дал: znanijaovs02
0

Смотрите решение во вложенном файле

Приложения:
Вас заинтересует