Ответы
Ответ дал:
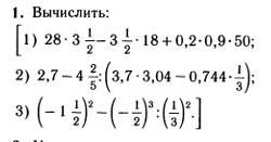
1
В 1 переводишь все в неправильные дроби и выполняешь последующие действия.
Во 2 перемножаешь, потом превращаешь все в неправильные дроби и выполняешь последующие действия.
В 3
Во 2 перемножаешь, потом превращаешь все в неправильные дроби и выполняешь последующие действия.
В 3
Приложения:
jesus22286666666:
В 3 во 2 действии возводишь степень; по правилу знак меняется на + и выполняешь последующие действия
Вас заинтересует
2 года назад
2 года назад
2 года назад
8 лет назад
8 лет назад
9 лет назад