• Предмет: Алгебра
  • Автор: Polovets
  • Вопрос задан 3 года назад

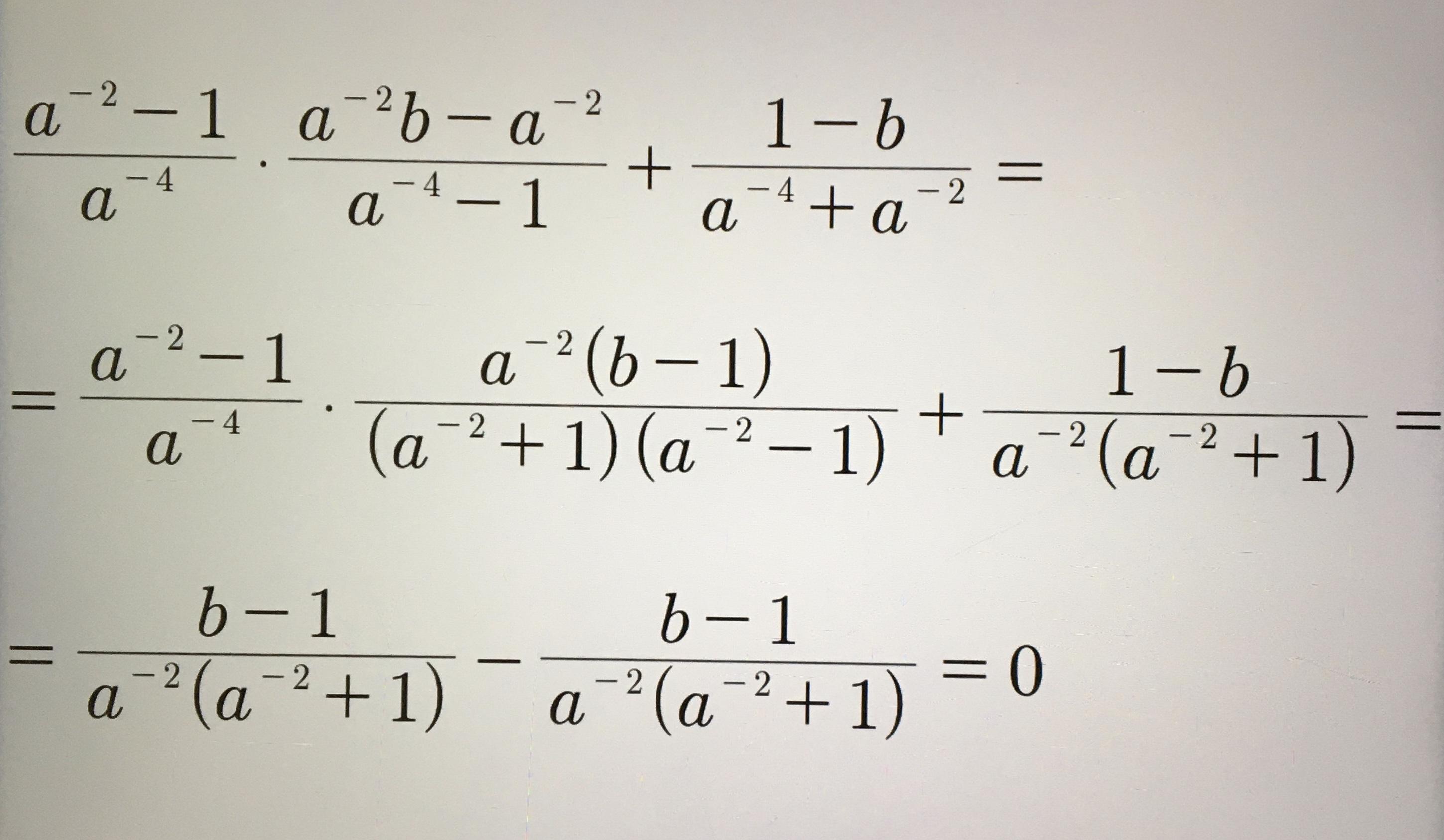
Упростите выражение.

Приложения:

lili00000tp: Скачай приложение "Photomath" просто тут очень долго объяснять. Там будет пошаговое ришение как упростить.

Ответы

Ответ дал: tamarabernukho
1

Ответ:

0

Объяснение:

.........................

Приложения:

Аноним: вступай в чат альтернативщиков ! Вступайте в сообщество Alt - Атмосфера Ваших Знаний https://invite.viber.com/?g2=AQAElYImxphaY0x0Q0xOhf0lkM3kFyEQbAKBKjrMu%2BiwIP%2B%2FlAauv6kjL3mi84xI в Viber
Вас заинтересует