• Предмет: Алгебра
  • Автор: Leseonok2006
  • Вопрос задан 3 года назад

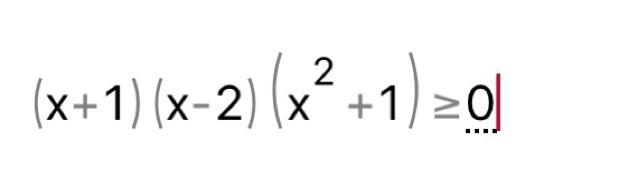
СРОЧНО!!! Как это решить методом интервалов?!

Приложения:

Ответы

Ответ дал: NNNLLL54
0

Ответ:

(x+1)(x-2)(x^2+1)\geq 0\\\\znaki:\ \ \ +++[-1\ ]---[\ 2\ ]+++\\\\x\in (-\infty ;-1\ ]\cup [\ 2\ ;+\infty \, )

Вас заинтересует