• Предмет: Математика
  • Автор: st96ars
  • Вопрос задан 3 года назад

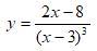
Найти производную функции

Приложения:

Ответы

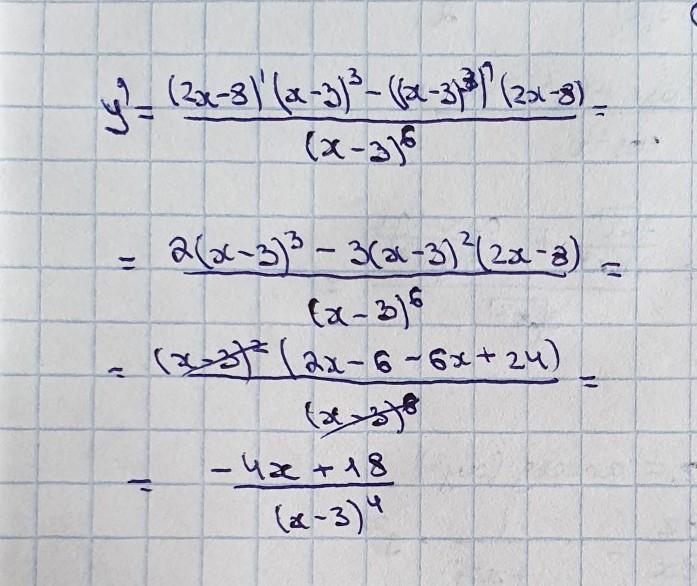
Ответ дал: Miroslava227
1

Ответ:

решение на фотографии

Приложения:
Вас заинтересует