• Предмет: Математика
  • Автор: fflow0218
  • Вопрос задан 3 года назад

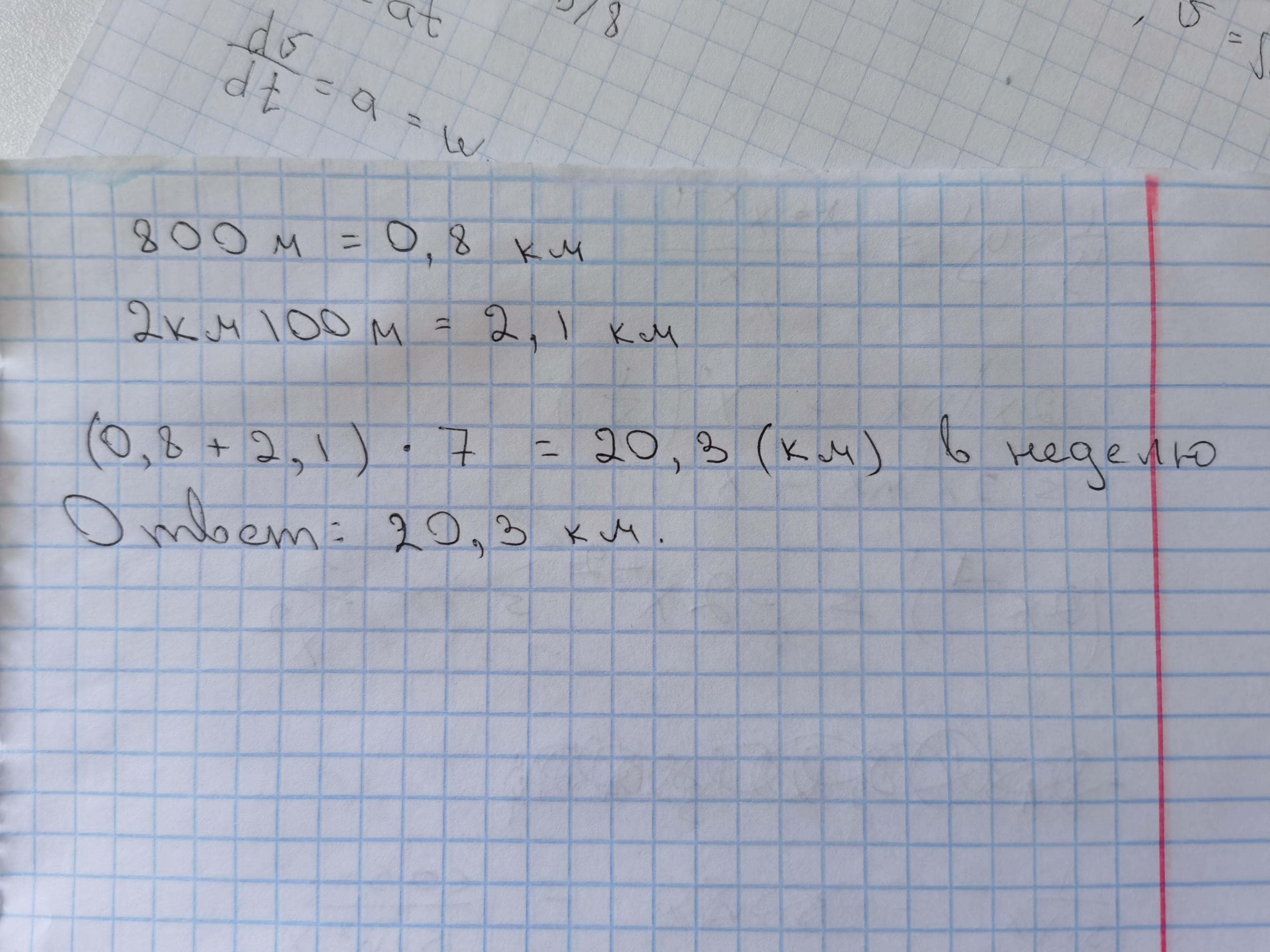
589. Лева Кузнечиков бегает по утрам. Он беж
800 м до парка и 2 км 100 м по парку. Какое
расстояние пробегает Лева за неделю? (Перед
тем как решать задачу, выразите числовые
данные в километрах.)
Н​

Ответы

Ответ дал: loskutovaolya8
0

Ответ:

Пошаговое объяснение:

Приложения:

fflow0218: спасибо огромное
Вас заинтересует