Ответы
Ответ дал:
0
Ответ:
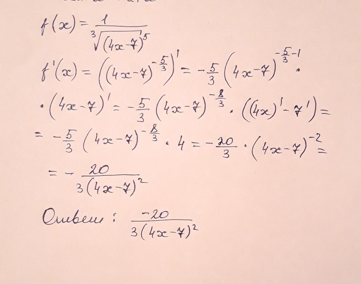
Производная сложной функции.
Приложения:


Вас заинтересует
2 года назад
2 года назад
7 лет назад
7 лет назад