• Предмет: Математика
  • Автор: WHATYAGONNADO
  • Вопрос задан 3 года назад

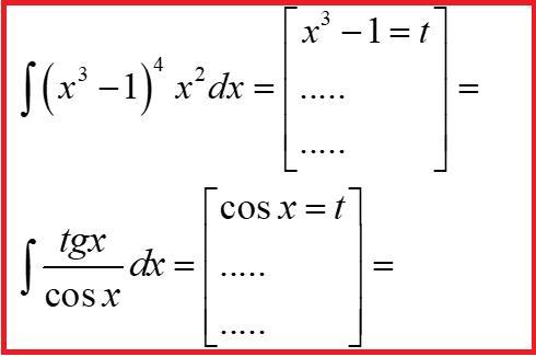
вычисление интегралов методом замены переменной

Приложения:

Ответы

Ответ дал: Miroslava227
1

Ответ:

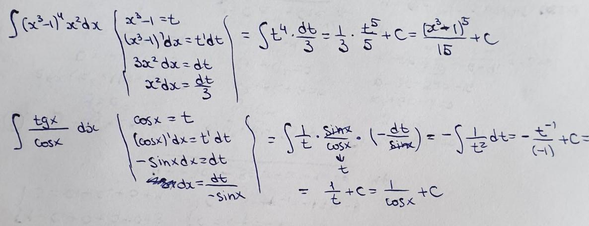
решение на фотографии

Приложения:
Вас заинтересует