Ответы
Ответ дал:
0
Смотри ))))))))))))))))))))))))))
Приложения:

Ответ дал:
0
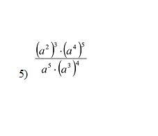
a в степени 9. Пожалуйста
Приложения:

Вас заинтересует
2 года назад
2 года назад
7 лет назад
7 лет назад
9 лет назад