• Предмет: Математика
  • Автор: dyler455
  • Вопрос задан 3 года назад

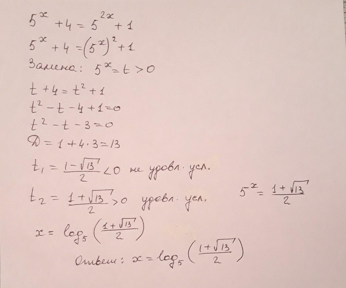
решите уравнение методом введения новой переменной: 5^x+4=5^2x+1​

Ответы

Ответ дал: sharofat0
1

Ответ:

x=log_5(1+13^1/2)/2

Решить уравнение введением

новой переменной.

Приложения:
Вас заинтересует