• Предмет: Алгебра
  • Автор: 666uuu
  • Вопрос задан 3 года назад

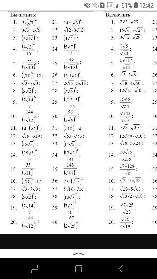
Помогите 1-10 сделать

Приложения:

Ответы

Ответ дал: iliaszholaman
0

Ответ:

Объяснение:

Ответ на фотографии

Приложения:
Вас заинтересует