• Предмет: Алгебра
  • Автор: Аноним
  • Вопрос задан 3 года назад

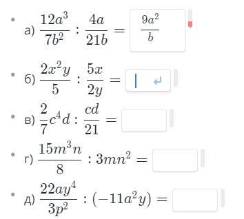
помоги пж с домашкой помоги пж с домашкой

Приложения:

Ответы

Ответ дал: kirillolefirenko4786
1

Ответ:

б) 4xy^2/25 в) 2с^3/3 г) 5m^2n/8n д)-2y^3/3ap^2

Объяснение:

Вас заинтересует