• Предмет: Химия
  • Автор: leoqater
  • Вопрос задан 3 года назад

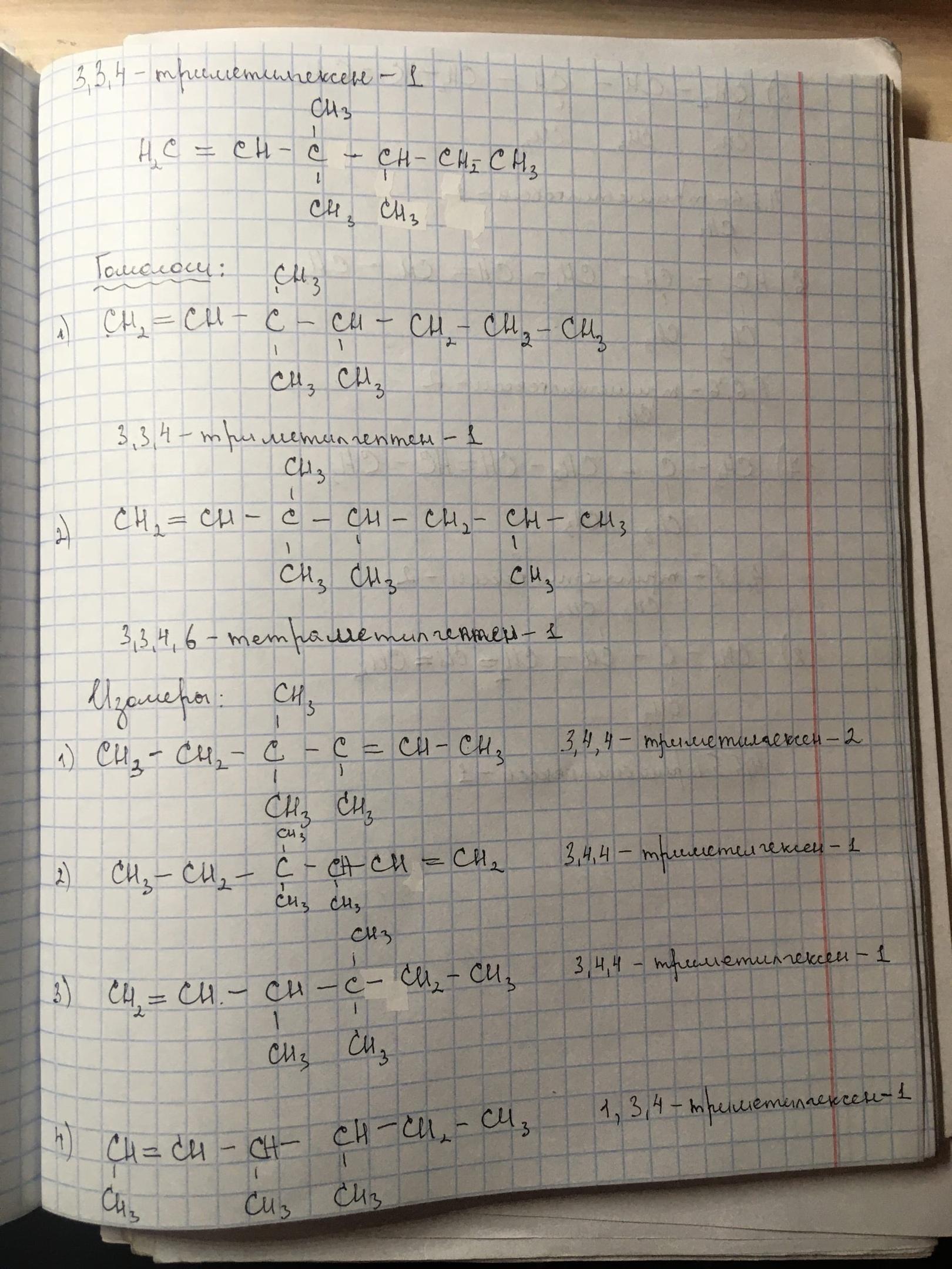
Срочно, даю 35 баллов. Для вещества 3,3,4 - триметилгексен - 1 указать 2 гомолога и 8 изомеров, желательно на листочке понятным почерком​

Ответы

Ответ дал: daccaeononellse
1

Ответ:

Объяснение: см. картинки

Приложения:

leoqater: огромное спасибо!
Вас заинтересует