• Предмет: Математика
  • Автор: gfeer2
  • Вопрос задан 3 года назад

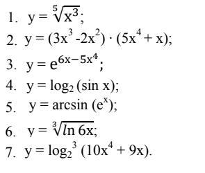
Задание: Найти производную каждой функции.

Помогите пожалуйста, сдавать через 1.5 часа эти работы.

Приложения:

Ответы

Ответ дал: sasapervuhina
0

Ответ:

скачай фото матч там все премеры решит

Пошаговое объяснение:

А это я тебе 2 пример решила

Приложения:

Miroslava227: Это не то
gfeer2: Умный???? Найти производную каждой функции, а на фотомаче не производная
Ответ дал: Miroslava227
1

Ответ:

решение на фотографии

Приложения:

gfeer2: Благодарю вас за потраченное время. Огромное спасибо)
Вас заинтересует