• Предмет: Алгебра
  • Автор: effendo201006
  • Вопрос задан 3 года назад

очень надо не знаю как решить 20 балов​

Приложения:

Ответы

Ответ дал: mmb1
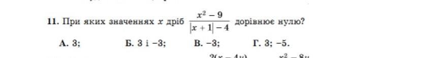
1

(x² - 9)/(|x + 1| - 4) = 0

одз  |x + 1| ≠ 4

x ≠ 3 x≠-5

x² - 9 = 0

x = +-3

x = 3 нет по одз

x = -3 да

ответ В -3

Вас заинтересует