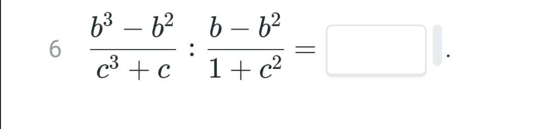
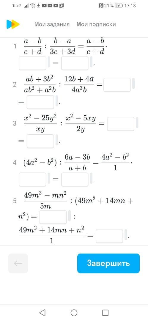
помогите срочно !!!!!!!!!!!!!!!!!!!!!!!!!!!!!!!!!!!!!!!!!!!!!!!!!!!!!!!!!!!!!!!!!!!!!!!!!!!!!!!! даю 30 балов
Приложения:
Ответы
Ответ дал:
0
Ответ будет -b/c
Вроде как то так
Вроде как то так
lilimese:
Это 6
Вас заинтересует
2 года назад
2 года назад
2 года назад
8 лет назад
8 лет назад
9 лет назад