• Предмет: Математика
  • Автор: Mashapolovets167
  • Вопрос задан 3 года назад

Срочно помогите пожалуйста найти производную !!! ПЛИЗЗ!

Приложения:

Mashapolovets167: https://znanija.com/task/41377033 памаги

Ответы

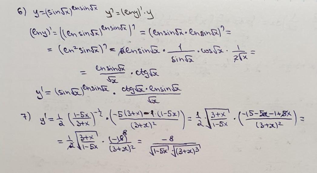
Ответ дал: Miroslava227
1

Ответ:

решение на фотографиях

Приложения:

Mashapolovets167: Спасиб
Вас заинтересует