Ответы
Ответ дал:
0
Ответ:
40 это точно наверно вот
Ответ дал:
2
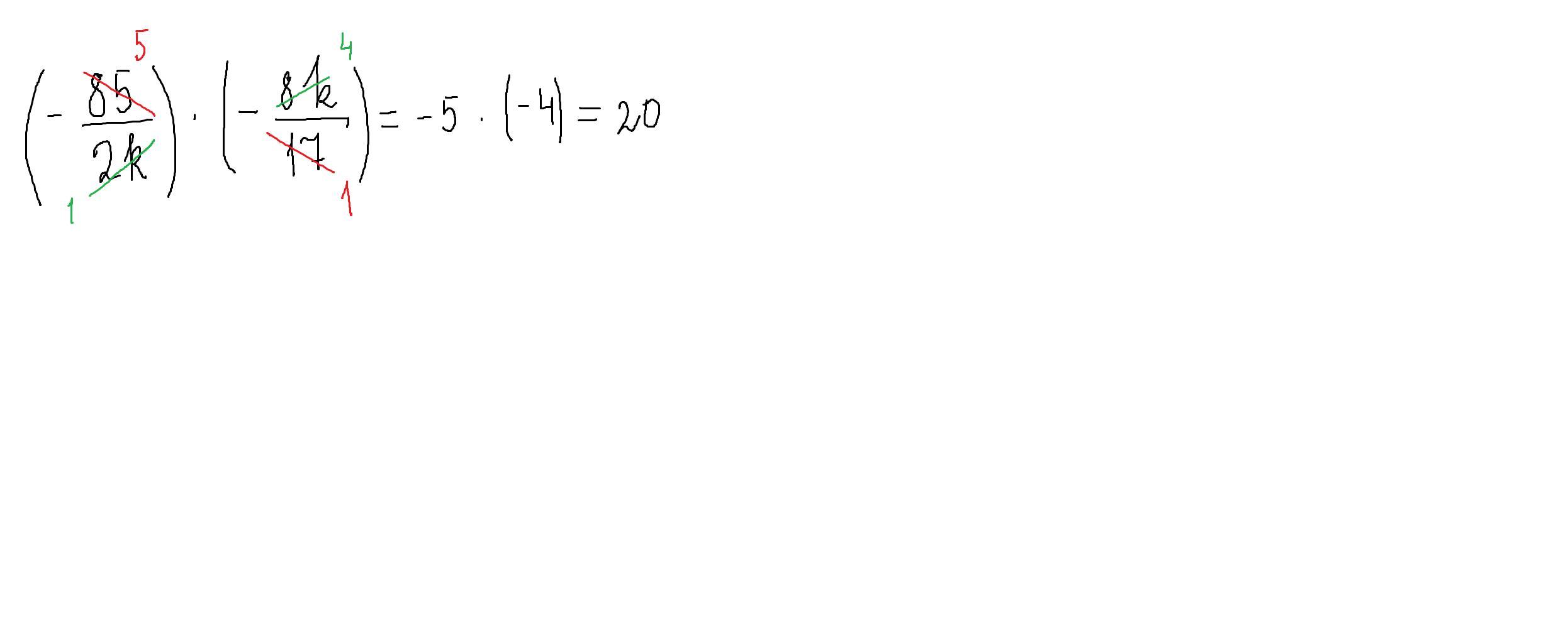
Ответ:
Объяснение:
решение внизу
Приложения:

Вас заинтересует
2 года назад
2 года назад
2 года назад
2 года назад
7 лет назад
7 лет назад
9 лет назад