• Предмет: Алгебра
  • Автор: sucaevaanastasia
  • Вопрос задан 3 года назад

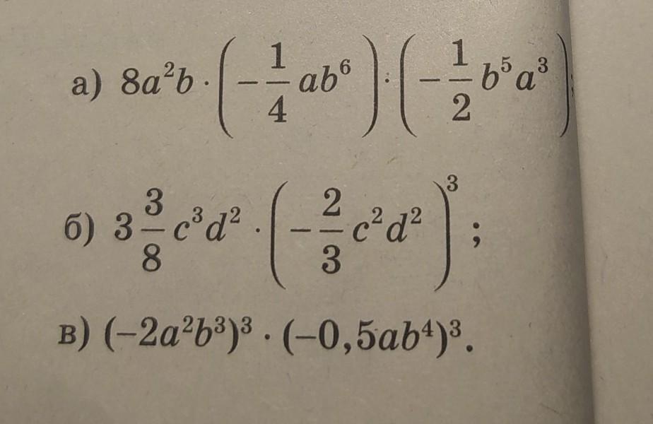
Упростите выражение. Можно кроме ответа еще и решение!!!!!! Пожалуйста!!!​

Приложения:

Ответы

Ответ дал: Universalka
1

1)8a^{2} b*(-\frac{1}{4}ab^{6})(-\frac{1}{2}b^{5}a^{3}})=8*(-\frac{1}{4})*(-\frac{1}{2})*a^{2+1+3}*b^{1+6+5}=a^{6}b^{12}\\\\2)3\frac{3}{8}c^{3}d^{2}*(-\frac{2}{3}c^{2}d^{2})^{3}= \frac{27}{8}*(-\frac{8}{27}) *c^{3}d^{2} *c^{6}*d^{6} =-c^{3+6}d^{2+6}=-c^{9}d^{8}\\\\3)(-2a^{2}b^{3})^{3}*(-0,5ab^{4})^{3}=-8a^{6}b^{9} *(-\frac{1}{8}a^{3}b^{12})=a^{6+3}b^{9+12}=a^{9}b^{21}

Вас заинтересует