• Предмет: Алгебра
  • Автор: Maxff2f2
  • Вопрос задан 3 года назад

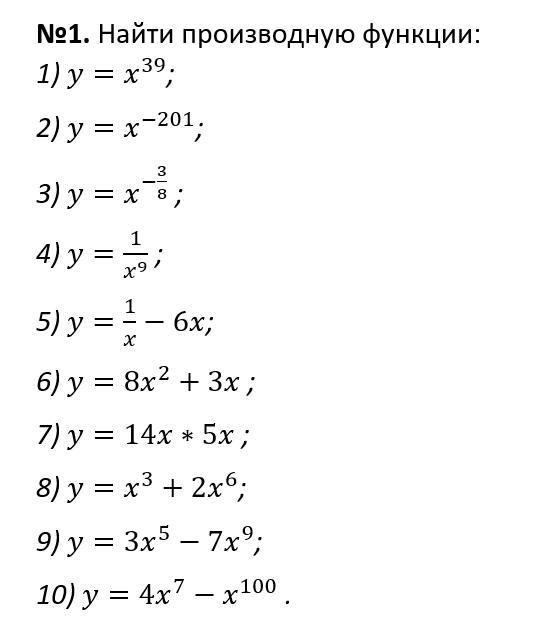
Срочно! Заранее Спасибо ! 35 баллов.

Приложения:

Ответы

Ответ дал: Miroslava227
1

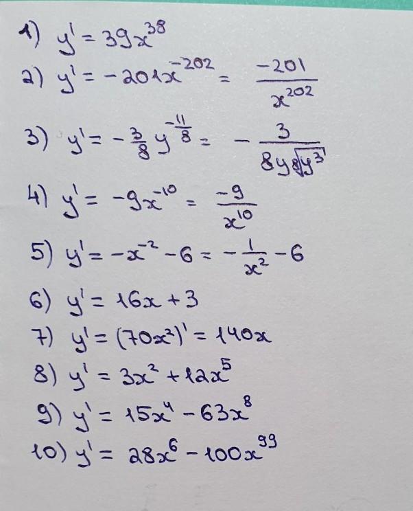
Ответ:

решение на фотографии

Приложения:

Maxff2f2: спасибо тебе~
Вас заинтересует