• Предмет: Алгебра
  • Автор: bomber65
  • Вопрос задан 3 года назад

Помогите пожалуйста нужно срочно! Фото прикрепил

Приложения:

Ответы

Ответ дал: BountyGirl
0

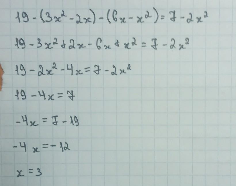
В) x=12 Г) x=3

Объяснение:

Прикрепила фото,извини за подчерк.

Приложения:
Вас заинтересует