Ответы
Ответ дал:
1
Ответ:
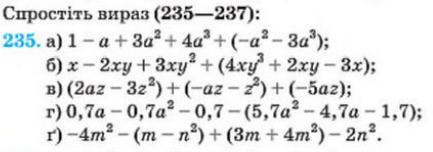
Решение на фотографии
Приложения:


Ответ дал:
1
Ответ:
решение на фотографии
Приложения:



Вас заинтересует
2 года назад
2 года назад
2 года назад
7 лет назад
9 лет назад