• Предмет: Алгебра
  • Автор: varyasemenova17
  • Вопрос задан 3 года назад

Помогитеее очень нужно

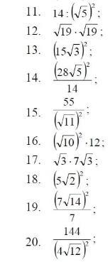
Приложения:

Ответы

Ответ дал: arsyzoool20184
0

Ответ:

11. 2.8

12. 19

13. 675

14. 840

15. 5

16. 120

17. 21

18. 50

19. 98

20.3 дробь 4

Вас заинтересует