Ответы
Ответ: площадь четырехугольника OCPD равна см², а периметр - см.
Решение:
Заметим, что OCPD - это квадрат. Большие квадраты ABCD и DCMK между собой равны, так как имеют общую сторону. Диагонали этих квадратов взаимно перпендикулярны (образуют угол 90°) и точкой пересечения делятся пополам. Все стороны четырехугольника OCPD равны половине диагонали большого квадрата, и, поэтому, также равны между собой. А четырехугольник с углами по 90° и равными сторонами является квадратом.
Вначале попробуем найти сторону квадрата OCPD. Как было написано выше, каждая его сторона равна половине диагонали больших квадратов. Сама диагональ равна (по теореме Пифагора):
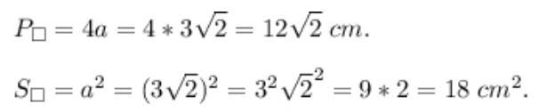
Тогда сторона искомого квадрата равна:
Теперь можно найти периметр и площадь:
