• Предмет: Алгебра
  • Автор: ludmilka49579
  • Вопрос задан 3 года назад

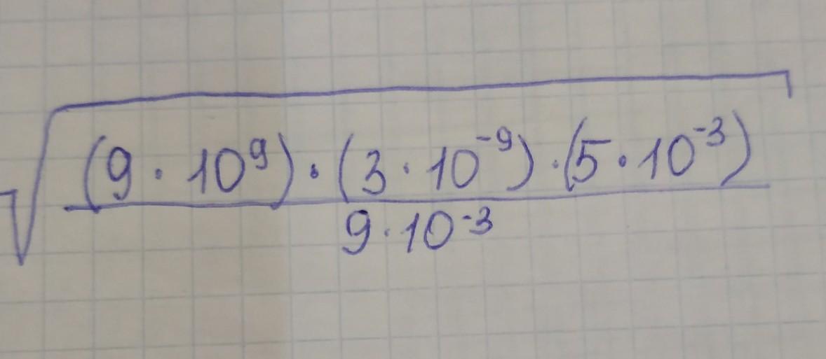
помогите решить пример

Приложения:

Ответы

Ответ дал: OdinakaiaPrincesska
0

Ответ: Смотри на фотках

Объяснение: Если что приложение называется Photomath)

Приложения:
Вас заинтересует