• Предмет: Алгебра
  • Автор: artemartemskl
  • Вопрос задан 3 года назад

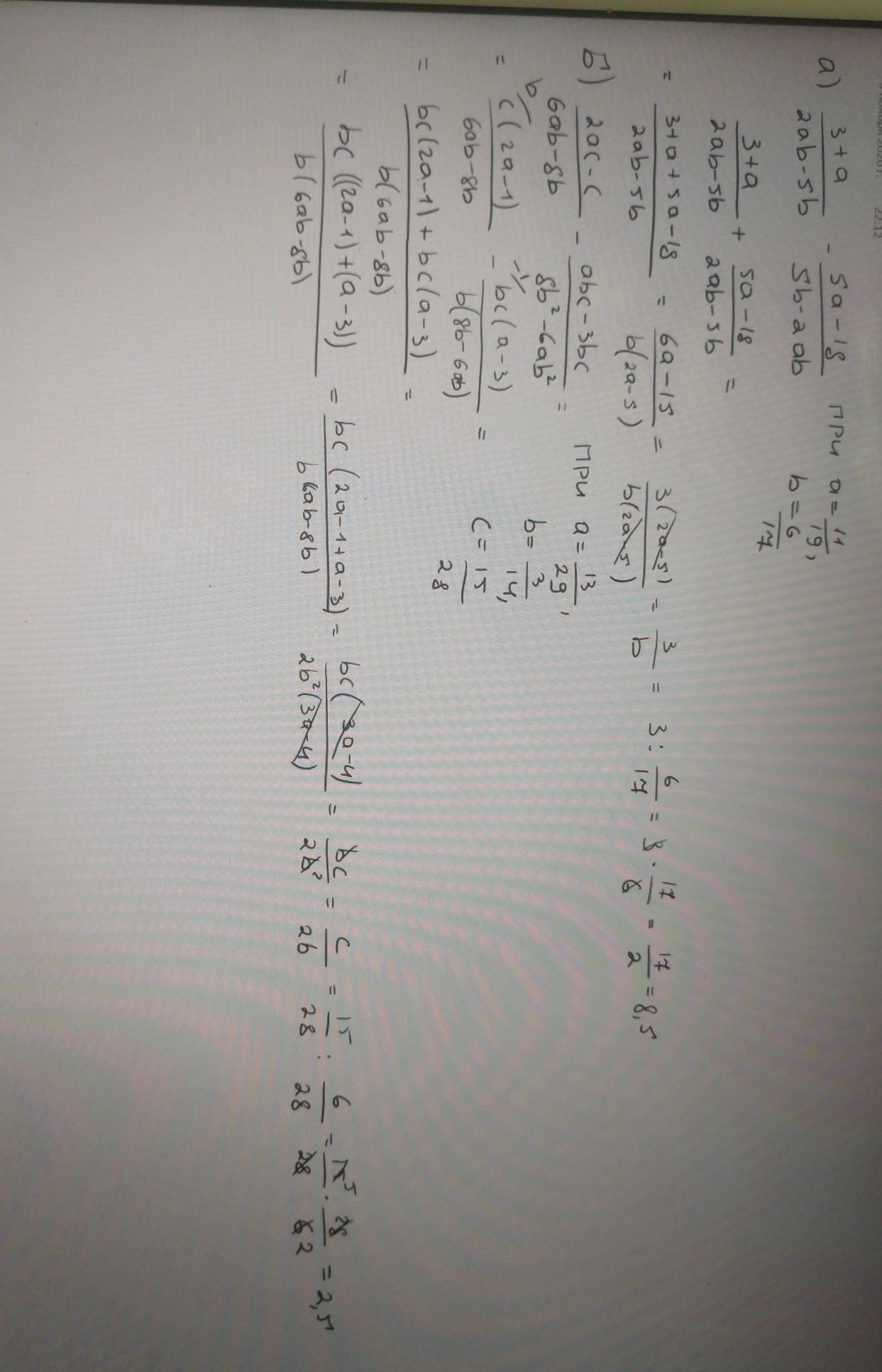
a. 3+a/2ab-5b - 5a-18/5b-2ab, при a=11/19,
b=6/17

б. 2ac-c/6ab-8b - abc-3bc/8b^2-6ab^2 , при a=13/29 , b=3/14 , c=15/28

Ответы

Ответ дал: qwert123yxc
1

Решение на фото.

---------------------------

Приложения:
Вас заинтересует