• Предмет: Математика
  • Автор: smusletogo
  • Вопрос задан 3 года назад

Решить системы уравнений.

Приложения:

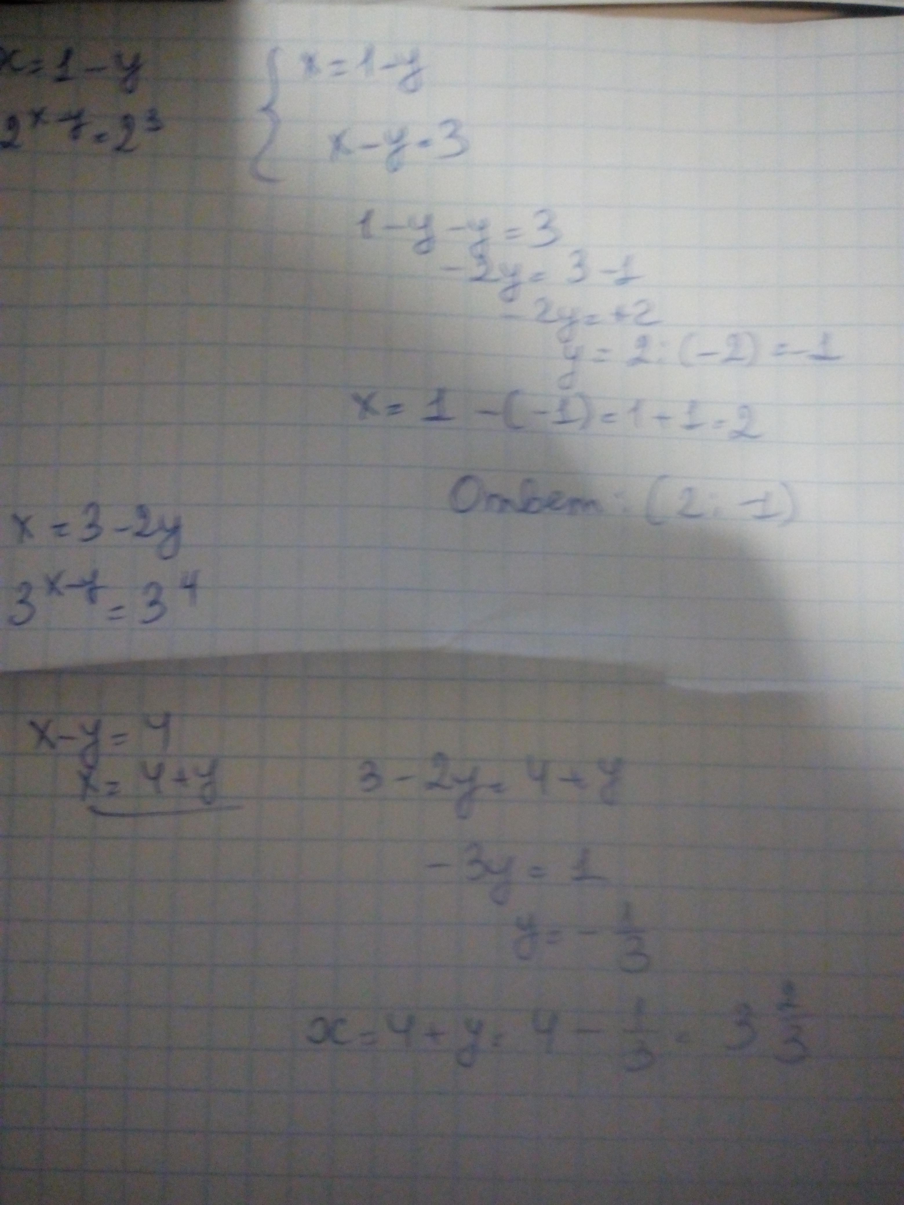
Ответы

Ответ дал: Miroslava227
1

Ответ:

решение на фотографии

Приложения:

grattttt: https://znanija.com/task/39836793
grattttt: Miroslava227
grattttt: можете помочь
Аноним: Помогите пожалуйста Мирослава
Аноним: https://znanija.com/task/39837489
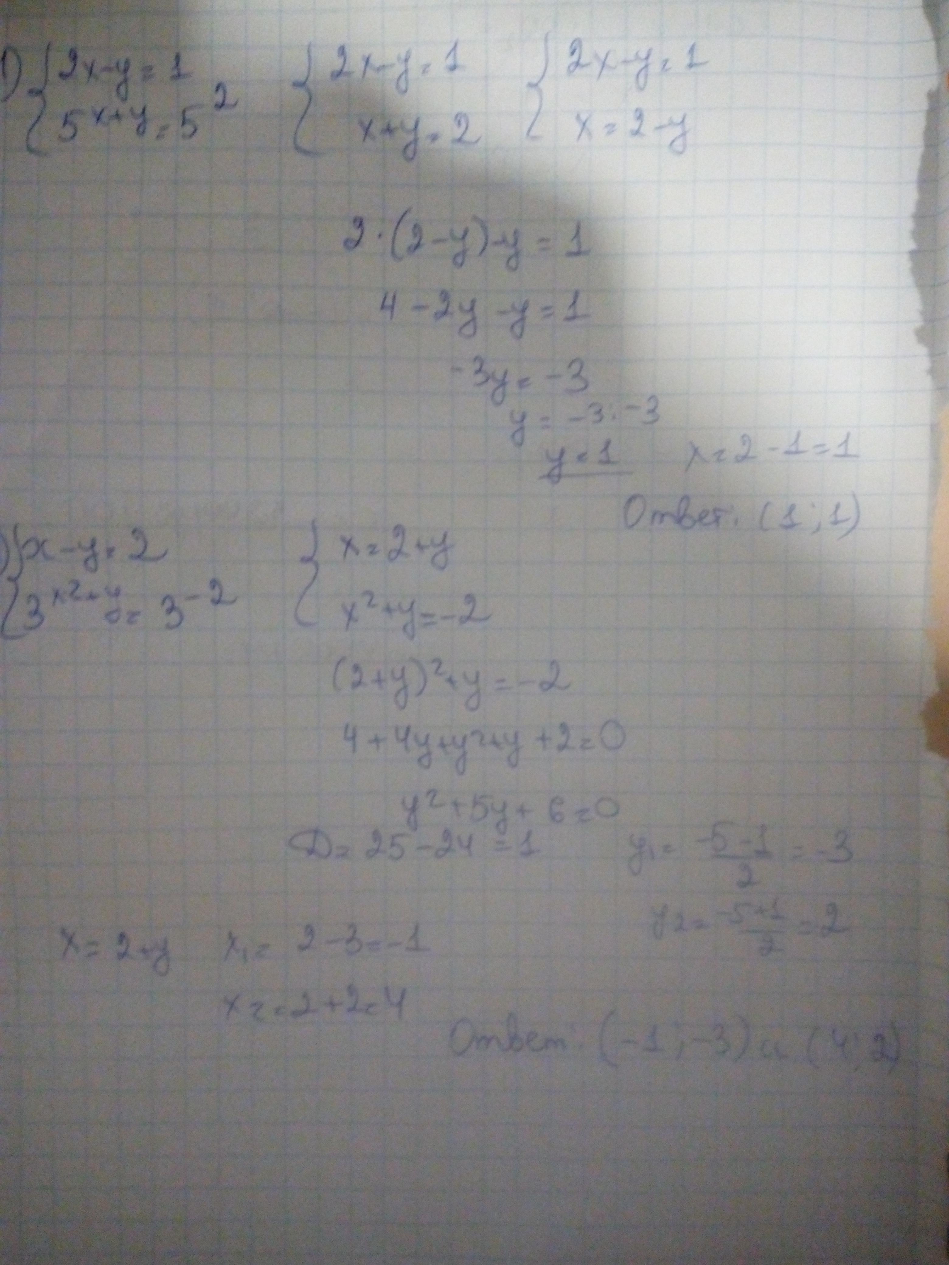
Ответ дал: PinkesRose
1

Ответ:

Пошаговое объяснение:

Приложения:
Вас заинтересует