Найдите значение x,при котором функция 

равна 25.
Укажите правильный вариант ответа:
−5 и 5
−5
−25 и 25
5
                        
                            
                            
                    Ответы
                                            Ответ дал: 
                                                                                    
                                        
                                            
                                                
                                                
                                                
                                                    2
                                                
                                            
                                        
                                    ОТВЕТ
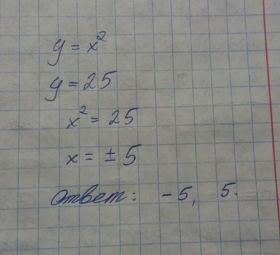
Ответ на фото.
ОБЪЯСНЕНИЕ
Объяснение на фото.
Приложения:
                     
                            
                                            Ответ дал: 
                                                                                    
                                        
                                            
                                                
                                                
                                                
                                                    3
                                                
                                            
                                        
                                    x² = 25
√x² = √25
|x| = 5
x = ±5
-5 и 5
Вас заинтересует
                
                        2 года назад
                    
                
                        2 года назад
                    
                
                        2 года назад
                    
                
                        2 года назад
                    
                
                        7 лет назад
                    
                
                        7 лет назад
                    
                
                        9 лет назад