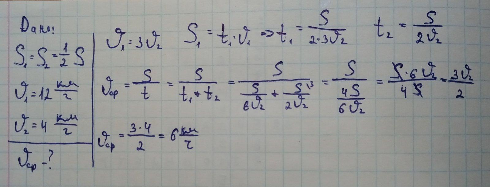
Баба-Яга летит со скоростью у = 12 км/ч на встречу с Лешим. В середине пути у неё
сломалась метла, ичтобы успеть на встречу, ей пришлось оставшееся время идти пешком
со скоростью и = 4 км/ч. Найти среднюю скорость Бабы-Яги на всём пути. Ответ
выразить в км/ч, округлив до целых.
Помогите очень срочно
Ответы
Ответ дал:
1
Ответ и Объяснение:
все на картинке
Приложения:

Вас заинтересует
2 года назад
2 года назад
7 лет назад
7 лет назад
9 лет назад
9 лет назад