• Предмет: Алгебра
  • Автор: cmetanohka
  • Вопрос задан 3 года назад

Нужна пояснительная бригада Алгебра 8 класс​

Приложения:

Ответы

Ответ дал: RealZSK
1

Ответ:

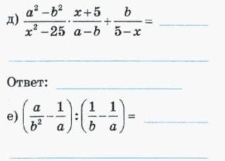
д.) a/(x-5)

e.) (a+b)/b

Объяснение:

\frac{a^{2} -b^{2} }{x^{2} -25} *\frac{x+5}{a-b}+\frac{b}{5-x}=\\\\=  \frac{(a-b)(a+b)(x+5)}{(x^{2} -5^{2} )(a-b)} +\frac{b}{5-x}=\\\\=  \frac{(a+b)(x+5)}{(x-5)(x+5)} +\frac{b}{5-x}=\\\\=  \frac{a+b}{x-5} +\frac{b}{-(x+5)}=\\\\=  \frac{a+b-b}{x-5}=\ \frac{a}{x-5}

(\frac{a}{b^{2} } -\frac{1}{a} ):(\frac{1}{b}-\frac{1}{a})=\\\\=\frac{a^{2} -b^{2} }{ab^{2} } :(\frac{a-b}{ab} )=\\\\=\frac{(a-b)(a+b)ab}{ab^{2} (a-b)} =\\\\=\frac{a+b}{b}


cmetanohka: чмок..
Вас заинтересует