Ответы
Ответ дал:
0
Ответ:
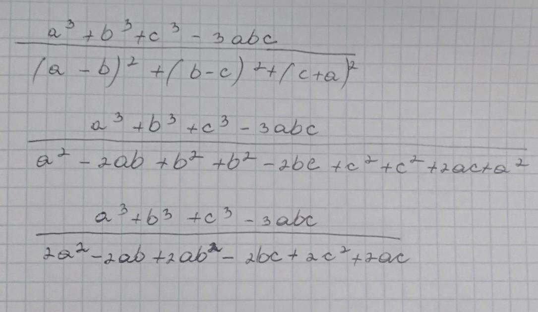
Ответ указен на фотографии.
Объяснение:
...
Приложения:

Аноним:
верхняя уже сокращена, оно не меняется
Вас заинтересует
2 года назад
2 года назад
2 года назад
2 года назад
7 лет назад
9 лет назад