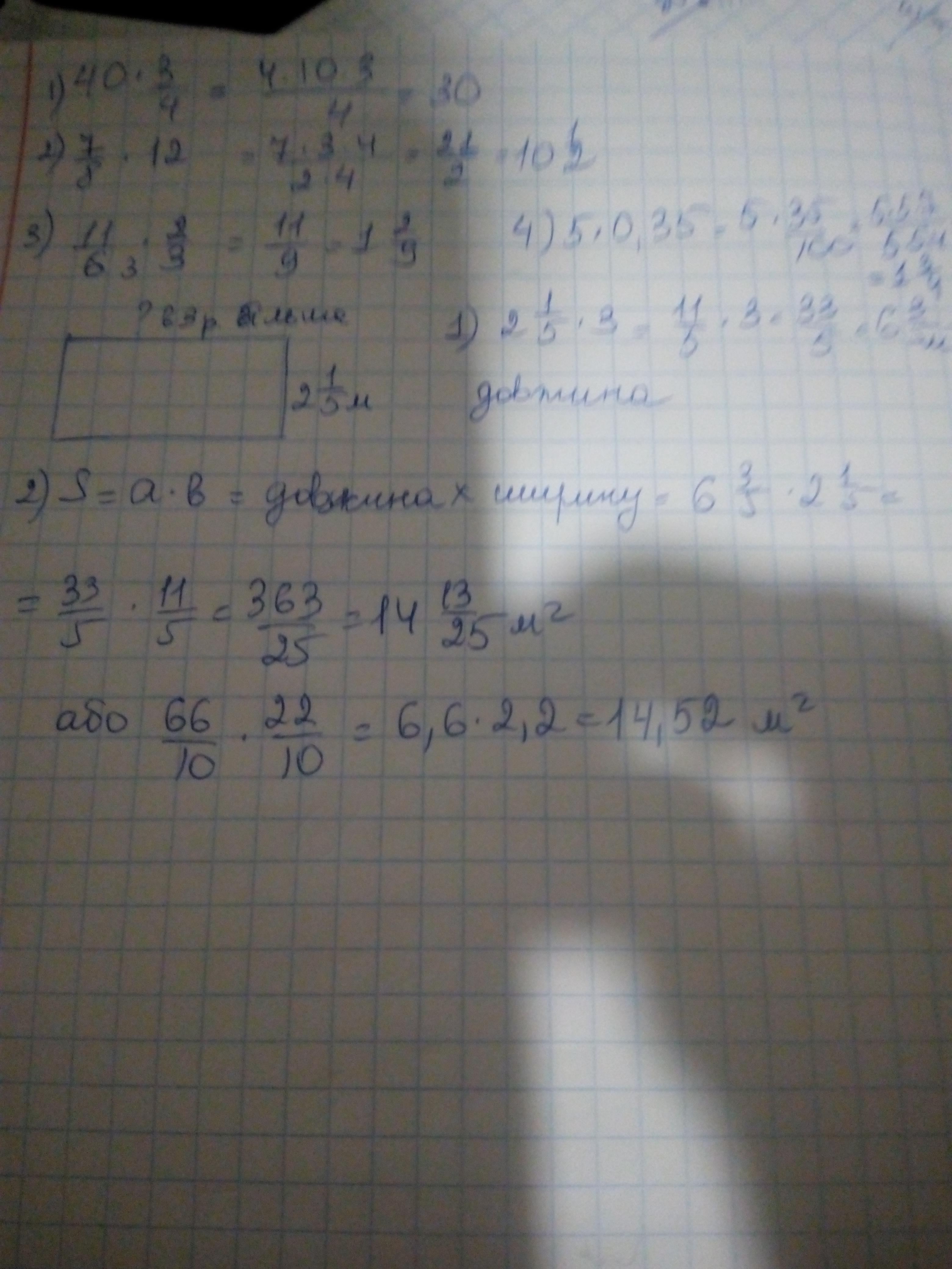
Знайдіть
А) 3/4 від 40
Б) 7/8 від 12
В) 2/3 від 1 1/6
Г) 0.35 від 5
И задача
Ширина прямокутника 2 1/5м а довжина у 3 рази більша Знайдіть площу прямокутника
Ответы
Ответ дал:
0
Ответ:
Пошаговое объяснение:
Приложения:


Вас заинтересует
2 года назад
2 года назад
7 лет назад
7 лет назад
9 лет назад
9 лет назад