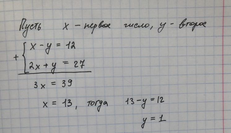
5. Решить задачу, составляя систему
Разность двух чисел равна 12,а сумма удвоенного первого числа и
второго равна 27. Найти эти числа
Решить задачу, составляя систему!!
Ответы
Ответ дал:
1
Решение на фото. Оформление может быть вариативным, но суть такова.
Приложения:

Вас заинтересует
2 года назад
2 года назад
2 года назад
2 года назад
7 лет назад
9 лет назад