• Предмет: Химия
  • Автор: Калимсад
  • Вопрос задан 3 года назад

Даю 40 БАЛЛОВ
ПОМОГИТЕ ПОЖАЛУЙСТА
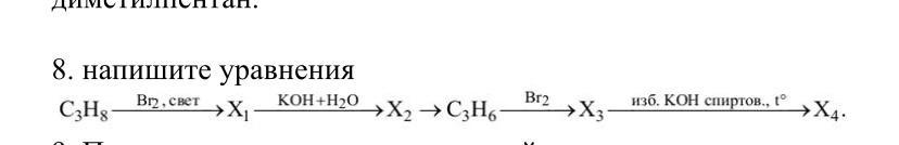
Напишите уравнения.

Приложения:

Ответы

Ответ дал: Scwidward
0

Ответ:

C_{3} H_{8} + Br_{2} = C_{3} H_{7}Br + HBr\\

C_{3} H_{7} Br + KOH + H_{2} O = C_{3} H_{7} OH + KBr\\

C_{3} H_{7} OH  => C_{3} H_{6} + H_{2}O\\  (под воздействием концентрированной серной кислоты)

C_{3} H_{6} + Br_{2} = C_{3} H_{6}Br_{2}

C_{3} H_{6}Br_{2} + 2KOH = C_{3} H_{4} + 2KBr + 2H_{2}O

Объяснение:

Реакция органических соединений

Вас заинтересует