• Предмет: Физика
  • Автор: Оксана0108
  • Вопрос задан 10 лет назад

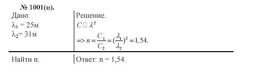
Радиоприемник настроен на радиостанцию, работающую на длине волны 25 м. Во сколько раз нужно изменить емкость приемного колебательного контура радиоприемника, чтобы настроиться на длину волны 31м?

Ответы

Ответ дал: Nursilya1996
0
возможно поздно..но всё же
Приложения:
Вас заинтересует