Ответы
Ответ дал:
0
Решение смотри ниже в приложении
Приложения:
Ответ дал:
0
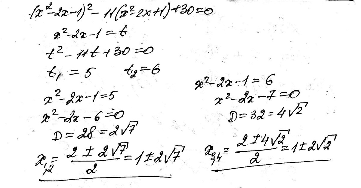
(x²-2x-1)²-11(x²-2x+1)+30=0
x2-2x-1=t
t2-11t+30=0
t12=(11+-корень(121-120))/2=(11+-1)/2= 5 6
x2-2x-1=5
x2-2x-6=0
x12=(2+-корень(4+24))/2=(2+-корень(28))/2=1+-корень(7)
x2-2x-1=6
x2-2x-7=0
x34=(2+-корень(4+28))/2=(2+-корень(32))/2=1+-корень(8)
x2-2x-1=t
t2-11t+30=0
t12=(11+-корень(121-120))/2=(11+-1)/2= 5 6
x2-2x-1=5
x2-2x-6=0
x12=(2+-корень(4+24))/2=(2+-корень(28))/2=1+-корень(7)
x2-2x-1=6
x2-2x-7=0
x34=(2+-корень(4+28))/2=(2+-корень(32))/2=1+-корень(8)
Приложения:
Вас заинтересует
3 года назад
3 года назад
8 лет назад
8 лет назад
11 лет назад
11 лет назад
11 лет назад