• Предмет: Математика
  • Автор: svopeegg
  • Вопрос задан 3 года назад

скоротить 5целых 21/56

Ответы

Ответ дал: PinkesRose
1

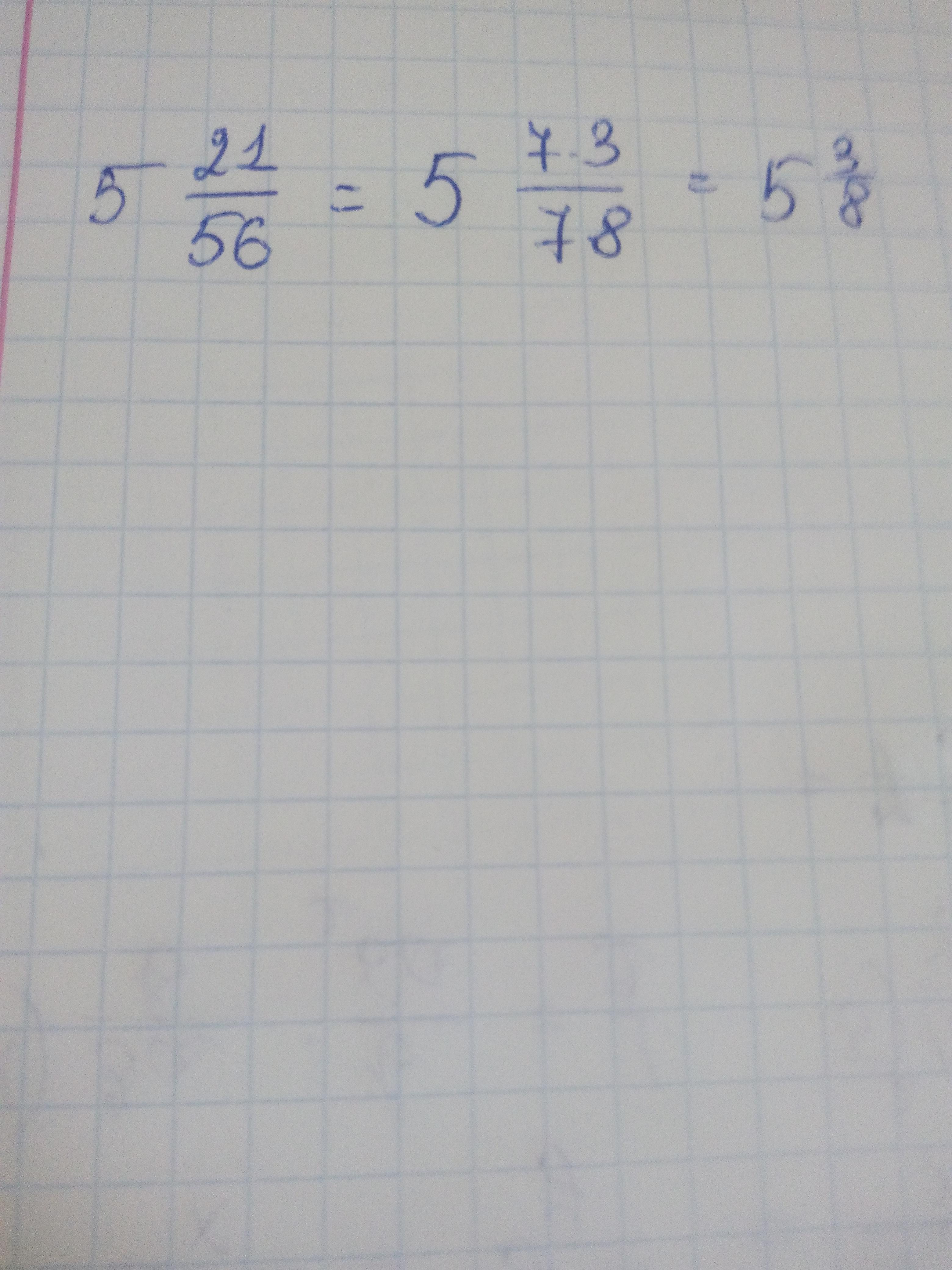
Ответ:5 целых 3/8

Пошаговое объяснение:

Приложения:
Ответ дал: kmolov2231
0

Ответ:

5 целых 3/8

Пошаговое объяснение:

Переводим в неправильную дробь 301/56; далее делим всё на 7 будет 43/8 и переводим обратно в правильную дробь 5 целых 3/8

Вас заинтересует