• Предмет: Математика
  • Автор: mopsi028
  • Вопрос задан 3 года назад

Помогите срочно!!! ДАЮ 30 БАЛЛОВ!!!
С пояснением пожалуйста...
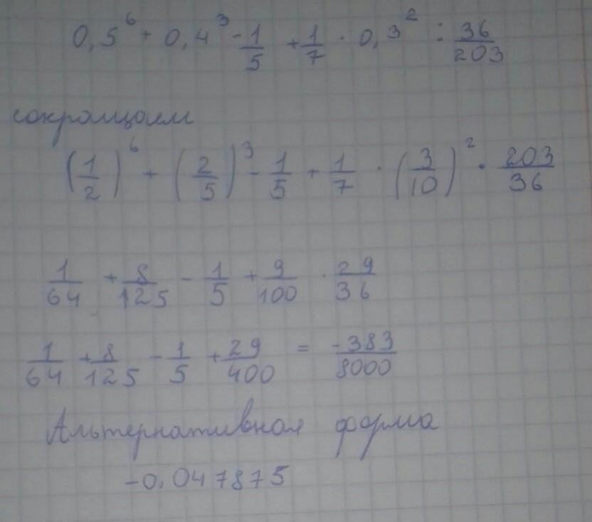
0,5(6) + 0,4(3) - 1/5 + 1/7 / 0,3(2) / 36/203

Ответы

Ответ дал: TinkyJin
0

я немного не понял,что ты написал,если не такое,напиши в коммах я как можно быстрее исправлю

надеюсь помог)

Приложения:
Вас заинтересует