Ответы
Ответ дал:
0
Ответ:
2 10/17
Решение:
Наименьший общий знаменатель
двух дробей:
Умножаем обе части уравнения
на наименьший общий знаменатель.
Определяем дополнительные мно
жители.
Ответ:
2.
Дробь равна 0, если ее числи
тель равен нулю:
Ответ:
b_1=0
b_2=2
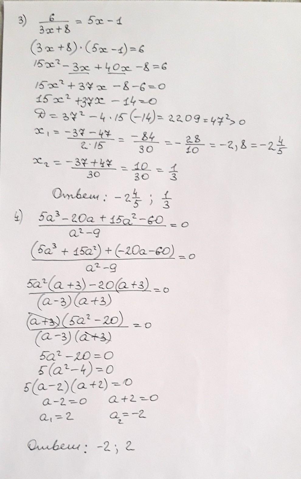
Приложения:



legolove2045:
А третий и четвертый можете зделать?
Вас заинтересует
2 года назад
2 года назад
7 лет назад
9 лет назад