Ответы
Ответ дал:
1
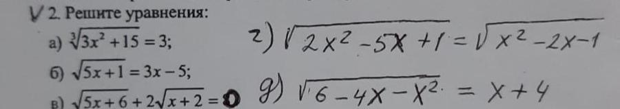
Решение на фото без последнего примера
Приложения:

Вас заинтересует
2 года назад
2 года назад
2 года назад
7 лет назад
9 лет назад