• Предмет: Алгебра
  • Автор: rowoy83556
  • Вопрос задан 3 года назад

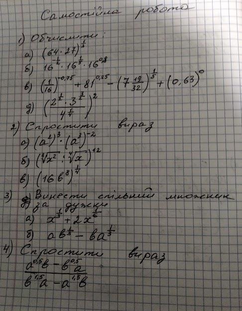
СРОЧНО НУЖНА ПОМОЩЬ ДАЮ 35 БАЛЛОВ!!!!!!!!

Приложения:

Ответы

Ответ дал: ivanovaanna0rt
0

Ответ:

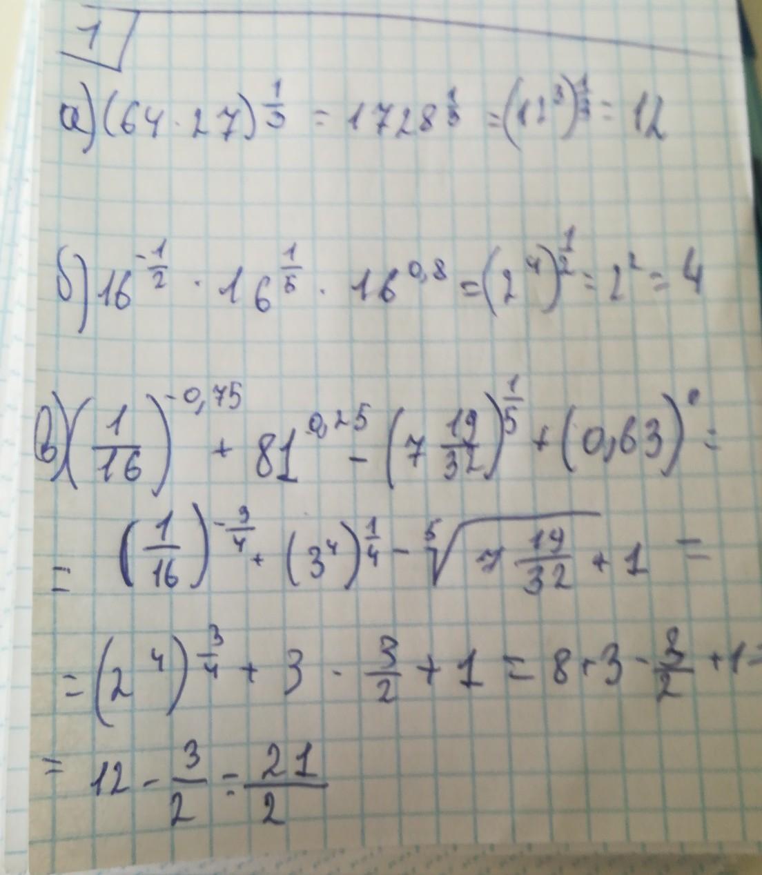
Это 1 задание первые 2 примера

Удачи и в школе

Приложения:
Вас заинтересует